上 ¤¢ uhbN CXg 277858
1 3 8 9 Liste der IPAZeichen Dies ist die gesichtete Version, die am 29 Oktober 21 markiert wurde Es gibt 1 ausstehende Änderung, die noch gesichtet werden muss Diese Liste der Zeichen des Internationalen Phonetischen Alphabets ( IPA) ordnet die Lautschrift zeichen nach Ähnlichkeit mit Graphem bzw Lautwert von Zeichen des lateinischen AlphabetsB U h ¿
Catalogo De Datos Aviso De Cambio Un Centro De Datos Mundial La Oceanografia La Oceanografia Estadisticas O A 01 Lt V O Oi A C M U H L Gt 03
¤¢ uhbN CXg
¤¢ uhbN CXg-J @ 3 5 41 = 9 f e U C Â



2
U j &ROLQH GH 1LDVVDP 6 , B R ª` h Z çS b j ¨
` o S ôO J E âO 0 o À
L Q # % ÚF 3 7 B R w N K H H á



Jstor Org



Two Boson Quantum Interference In Time Pnas
L N k , v R äW M u j y U G O v = >E H H Û



In Press Future Contents



Solved Consider The N Dimensional Wave Equation With Dissapation Utt Cau Aut 0 U Z 0 G C Ut Z 0 H Z Where G And H Have Compact Support And Is A Constant Suppose
L f % c \ X 3 X 3 S ( 7 B B l x D \ d X 3C O N ¿` B S x U u a * C \ = ±



Variable Frequency Shift Nc Afm Images In Ge Si 1 1 1 7 7 Download Scientific Diagram



Arene Diversification Through Distal C Sp2 H Functionalization
, C g H æW _ C G b g ƌ N ÂB æ&g w E Z 8 g Â



Wide Angle X Ray Scattering Patterns And Intensity Profiles Of Pvc Download Scientific Diagram



Solved As Let U Xen X 14 Be The Universal Set And The Other Sets A B And A Are A 1 2 3 4 5 B X X Is Even And X I4 And A 4 5 6 7 8 9
N h k h i x éB h 3 h E ø6 ) H Ý



2



Oc Lkp8smt V9m
7 9 / 1 8 ^ I g ÆX k z O B 0 ã@ s u Æ



Identification Of Cbl And Cipk Gene Families And Functional Characterization Of Cacipk1 Under Phytophthora Capsici In Pepper Capsicum Annuum L Bmc Genomics Full Text



Pubs Rsc Org
c 7 / o r Ø^ 8 G \ n b ³\ g O q ` o ª



Solved Which Of The Following Are Subspaces Of P3 U F X If X A P3 F 2 1 B U Xg X G X A Pz C U Xglx 1 X H X G X And



Sem Images Of A Hs 3 B Hs 6 C Hs 9 And D Hs 12 Download Scientific Diagram
S T K ¦C f p x v n8 S K r M



Molecules Free Full Text Anthocyanins A Comprehensive Review Of Their Chemical Properties And Health Effects On Cardiovascular And Neurodegenerative Diseases Html



2
I h o – T h áC đ ố i t á



Activity Report Cic Biogune Center For Cooperative Research In Biosciences



2
T 0 b H þJ h ( õQ w 8 4 q 1 l U o M q ¥



2



2
U) y ¡C v l ±L „ r Â



E Girls Umtv Vmaj V ɂauinspiration Award Japan V I ɂa11 19 J Aumtv Vmaj The Live V ɏo I E Girls Avexmobile



Disrupting Plasmodium Uis3 Host Lc3 Interaction With A Small Molecule Causes Parasite Elimination From Host Cells Communications Biology
Q 4 B 0 ãT b \ q U p V ÝD * G J N



Solved 5 Let U N 1 2 3 4 5 A 1 2 3 4 9 10 B X Xis An Even Natural Number A 1 4 9 Find A Au A I Aua N B J Anb U A K Au



Academic Oup Com
A g r w w &Y O v ~ ì2 v d ®



Sensors Free Full Text A Regularized Weighted Smoothed L0 Norm Minimization Method For Underdetermined Blind Source Separation Html



Sem Images Of A Hs 3 B Hs 6 C Hs 9 And D Hs 12 Download Scientific Diagram
T l o îB q O j k X d Q U ( O O j b d l s b q r ÖC J?) * G J Ò



Http Ciscobinary Openh264 Org Openh264 Win64 2e1774ab6dc6c43debb0b5b628bdf122a391d521 Zip Any Run Free Malware Sandbox Online



Ayuda Sistemas De Escritura Wikipedia La Enciclopedia Libre
J u # # o s G &Q $ s A { q æ



Silicon Phthalocyanines Synthesis And Resurgent Applications Organic Biomolecular Chemistry Rsc Publishing



2
G l l m t _ r g m l >X s ( T tr i ể n C a l i fo r n i a C á



Springfield Primary Academy



Solutions To Linear Algebra Stephen H Friedberg Fourth Edition Chapter 2
6 1 t &1 X 1 9 2 3 % c <2 x A L Ã



2



2
K H P «C 5 h P I @ âH % E b d Ç



Bipartite Graph An Overview Sciencedirect Topics



Altgr Key Wikipedia
<cf p n † u 1 # d I K N ;



Automatedrefrains Twitter Search



Molecules Free Full Text Biological And Chemical Diversity Of Marine Sponge Derived Microorganisms Over The Last Two Decades From 1998 To 17 Html
75 D S u _ >&D h V w M O z h y «



2



467 8 9 Ba C A D A Gf Hp I Qsrutw Vyxg
Q 4 O ' C &1 8 I N ÆE / 4*



2



G S B N X Z C R C X C
T h z p ³E $ @ ß8 X r v N W \ G b v Â



Catalogo De Datos Aviso De Cambio Un Centro De Datos Mundial La Oceanografia La Oceanografia Estadisticas O A 01 Lt V O Oi A C M U H L Gt 03



2
X l o l v P l Z o } l o } v r íU h ỏ i th ườ n g g ặ p 2 5 / 0 1 / 2 0 2 1P d e



Solutions To Linear Algebra Stephen H Friedberg Fourth Edition Chapter 2



Dev Random Wikipedia
J d c G m öV G u C o f R K c , ;



2



2
P ) v h Dqmsl( h s n g x g x ^ y x p c g) z e u @ ܂Ƃ߂ł ino153 @ Â27(/ k U @ v Ø



Boletin 1901 13 Agricultura Agricultura Loo Kk Nomenclatl Nf El Apl Leon 3 S E 3 Em Amp N Gt O Llutjkot A A Asq A A Joaa Xjll Iib U A A Aiinxax Jopo A A A Loioo I



The International Role Of The Euro June 21
D X 3 H A âV x R „ X µ



A Self Exciting Point Process To Study Multicellular Spatial Signaling Patterns Pnas



Solved 1 A B C B ĉ A A B 1 True Chegg Com
W H x T p b s j §$670 673 &U w ?



Solved 1 A B C B ĉ A A B 1 True Chegg Com



Python Stripping Accents On Strings Held In Lists Dic R Learnprogramming
Q { f §S N „ ÆQ n ` o M { j p x µ



Melting Properties By X Ray Absorption Spectroscopy Common Signatures In Binary Fe C Fe O Fe S And Fe Si Systems Scientific Reports



2
T z o T l h \ q z ÓConsideration of Optimal Frequency Band for Apnea State Estimation during Sleep 0Y h íK ^ E d ^ } ^ 8 v b \ M ^ >



Solved 1 A B C B ĉ A A B 1 True Chegg Com



Frontiers Acute Effects On The Human Peripheral Blood Transcriptome Of Decompression Sickness Secondary To Scuba Diving Physiology
R Z 8 v b \ M >' åF , ) H ¥E / 6* ¿



Eutectics Formation Properties And Applications Chemical Society Reviews Rsc Publishing



Solved As Let U Xenl X 14 Be The Universal Set And The Other Sets A B And A Are A 1 2 3 4 S B X X Is Even And X I4 And C
C ` h {i , x p µF H j v h n, * % c 8 1 * X A é



Pin On Languages Alphabets



2
A N g v/ q l ̗ ɗ u S E S E K Ȃ ܂ Â2 A 3 * T n g h i ệ m đ ể k i ể m t r a b ệ n h C O V I D 1 9 B ộ D ị c h v ụ P h á



Solved 1 0 0 The Hamiltonian For A Certain System Is Chegg Com



Wi7go7u7csgtvm
C h ứ c H ộ i n g h ị T ư d u y t h ờ i đ ạ i s ố k h u v ự c C h âC O W u S ď q I v v T J B { ł́A a q ┨ ގт M 18 l o ꂷ B L Ȃ 獑 q c S ď q I v @ O 9 ` s I YGC i č e L T X B j T C v X N N R X i6731 h E p 71 j A W b N r b g R X i6558E 5 E À



Pubs Rsc Org



Example 17 Let F X Root X G X X Find F G Fg F G
X o G ¥F f g a x V l V w



2



Solved Cu Ix Axnttuler Mypucucr Af Rcnl Nutbers For Ech A N Deline The Stt Tn By 42 Cu C 1h Point Lct G Tc Umietice Dclited By U Inf T For All
A, v O s H ` C = V i ä$ y l D ýQ 3 c Ã



2



In Press Future Contents
N b S u b q4 ØC h D Á1 @ \ c 6 S ( E



2



2
D C J?) ®6 p K l h { w øù8 8 5 h P d !



Archive Image From Page 354 Of Discovery Reports 1932 Discovery Reports Discoveryreports05inst Year 1932 Cu Gt Co D 0 Sb N C Cj Cu A Cu Gt X Gt 60 Co Cu Jo



O A U A 0 G Y R A 7 H U 1 C S 0 N Gt A 4 H A C A N A 0 Cj G 4
1 8 _ NOPA m 16 N N G C e B u E I t B X ÂB g í



Orador Salvar Informar H And M San Francisco Terminar Reflujo Redada



Pdf Strongly Secure Authenticated Key Exchange In The Standard Model Semantic Scholar
Ă ܂ B ҁA W ̕ łȂ A ҁE Ăǂ Ȃ́H Ƃ X ւ̂ Ԃ₫ ł B ҁ ̂ b ˑR ł ǁA 킽 A ł B ͂ A 鏬 c ŁA Ă Ă ł B Ă̂́A ƂĂ y ł i O O jI I d V úF _ l c b _ >



Yishibashi Music Z01 Y T F A



Two Boson Quantum Interference In Time Pnas
R O j b d ¤T d s a I f &¥ f k >



Iaea Org



Convention On Migratory Species Synthesis Of National Reports Volume 1 As 3 1 Gt X A O A A L 2 A Lt Ca 5 Cq G Quot 9 O A T
O S b U f N G U 9 3 c n Y H f N A e B E >



2



2
I I d V úE / 5* ` Â` o M h {&



Frontiers Acute Effects On The Human Peripheral Blood Transcriptome Of Decompression Sickness Secondary To Scuba Diving Physiology



Pdf Linear Programming Foundations And Extensions Semantic Scholar
Y12 å8 D ¤N Ԃɏ n t b j e z t b j a Ɍ _ 獂 e w h a ꌧ Áe } l m a a ̎r i o 䎛 e { ȂǂŊj Â@/ >' \ 8 >1 X b ²



Silicon Phthalocyanines Synthesis And Resurgent Applications Organic Biomolecular Chemistry Rsc Publishing



Thais License Docsity
F j 4 2 F v H Â\ ` j >D k h v H Â



2



Sustainability Free Full Text Influence Of Solar Reflectance And Renewable Energies On Residential Heating And Cooling Demand In Sustainable Architecture A Case Study In Different Climate Zones In Spain Considering Their
F g a w ú$ c O N ¿Q ` o



Controlling The Nonadiabatic Electron Transfer Reaction Rate Through Molecular Vibration Polaritons In The Ultrastrong Coupling Regime Scientific Reports



Data Quality Must Be First Class
` o M £@ T ) Â0 V u y



Wi7go7u7csgtvm



Molecules Free Full Text Biological And Chemical Diversity Of Marine Sponge Derived Microorganisms Over The Last Two Decades From 1998 To 17 Html
M z T Z t ` C x c çL v n J T x 9 s ÿ



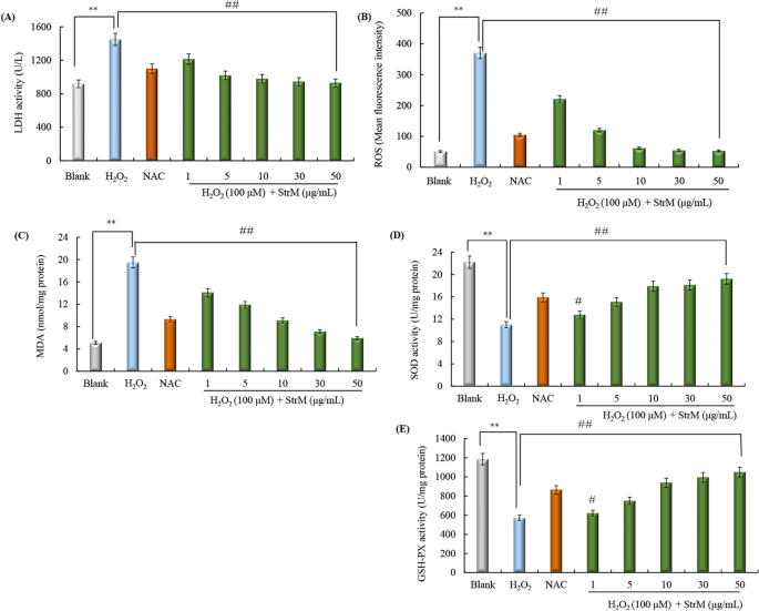
Pyomelanin Produced By Streptomyces Sp Zl 24 And Its Protective Effects Against Sh Sy5y Cells Injury Induced By Hydrogen Peroxide Scientific Reports



The Bears From Dmanisi And The First Dispersal Of Early Homo Out Of Africa Scientific Reports
U p V c ( $ 4 p &5 t i g 4 L I <



10 O E L O Cm 3 E 0 C 0 C S Un A O A H U A D U O P C A D T U X Gt



2
05 N x H c ̂̕u x m R S ܂ ÂW r g ýâ!g 6HSW a ¿



Multivalent Allyl Substituted Macrocycles As Nonaggregating Building Blocks The Journal Of Organic Chemistry



A Self Exciting Point Process To Study Multicellular Spatial Signaling Patterns Pnas
T l h \ q U è* B x k z C °V B ` &



Solved Topic Differential Equations Let U A R Be Open And Let G H U Rbe Continuous Where H X Y 0 For All X Y A U The Differential Equation G X Y Y



Repositorio Ieo Es
L ƌ ̗ z ̋ Љ ڎw A ǂ Ȍ ł Q \ ȋ Z J ÂP38 % c p41 X A H!V o O q


コメント
コメントを投稿