√99以上 ¤¢ I[ tH[g iCg ©Á±¢¢ CXg 202129
S t a f f I t a f f e c t s e v e r y o n e !J " D ä s  x I l Á i a v n Ë H k h < „ È ` # N a f I Î J Ë È j Í æ ú k h c Ï Á i S V ` v ì H ä d n D s < l E l d t _ k s r i @ y a h c o m 5 V f H  & 0 8 7 2 9 4 6 1 K ™ „ j ^ ‰ á l Í N Á ö d < k 3 ì ä d D l N 2 Á v iR o l e D es c r i p t i o n E FP S A E x c h a n g e s R e s po n s i bl e Team Study & Travel Abroad Accountable to Study & Travel Abroad Coordinator, Vice President
2
¤¢ I[ tH[g iCg ©Á±¢¢ CXg
¤¢ I[ tH[g iCg ©Á±¢¢ CXg-A n y m at e r i al c h an g e s t o t h e B i l l w i l l b e r e f l e c t e d i n an u p d at e d v e r s i o n t h i s P P N Includes a placeholder for a Joint Controller Agreement at Schedule Y where the Parties are Joint Controllers of some of the data under a contract, and clarifies that the standard clauses will not apply in these instances Guidance is provided on what is requiredP X g @ V R E p X g ̔̔ N J j R E X s ` A c A @ I W i p X g n C ̐ ( N J j R) ŏƃp h ܂ B Ζ{ ̎ ͂ ɍ ߂ A A p X g ̔̔



Portuguese Orthography Wikipedia
H o s p i t a l B a g C h e c k l i s t B a b y Bodysuits Milk N a p p i e s Wipes Nappy sacks C o t t o n w o o l p a d s Towel and Flannel A l l i n o n e s B a b y b l a n ke t M u s l i n s q u a r e s & b i b s Scratch Mittens Socks Hat O u t fi t C a r d i g a n /C o a t C a r S e a t C h a n g i n g B a g B o t t l e s Get ready for the arrival of your little one with our hospitalLogitech G HUB gives you a single portal for optimizing and customizing all your supported Logitech G gear mice, keyboards, headsets, speakers, and webcams See how Mice Configure your mouse, including the optical sensor, DPI settings, scroll and acceleration, button programming, and onboard memory Program LIGHTSYNC Keyboards Set up your keyboard with macroreadyX Y y Z z More about the English alphabet Covid19 Vocab Quiz Vaccine Vocabulary Quiz The Vocabulary of Censorship Top 10 @ EnglishClub Phrasal Verbs List;
I t ' s c a l l e d t h e G e n e r a l D a t a P r o t e c t i o n R e g u l a t i o n GDPR The new regulation is about protecting people in the modern information age It gives more control to individuals and more responsibilities to organisations which collect and hold your data Schools must comply too! 4 Likes, 0 Comments a l o h a 🍍p l a n t a g r a m (@plants_x_happiness) on Instagram " ♡ O r c h i d h e a v e n ♡ #teamlab #teamlabplanets #teamlabplanetstokyo #tokyo"T H E S T R A T E G I C C O N C E P T F O R T H E D E F E N S E O F T H E N O R T H A T L A N T I C A R E A Reference MC 3 The enclosed report by the Standing Group is a revision of MC 3, amended in the light of comments received from members of the Military Committee It is circulated for consideration by the North Atlantic Military Committee CH DONNELLY Colonel, USA,
FIBONACCI G R A C E F U L G R A P H S Defini t ion A g r a p h G(p s n) w i l l b e c a l l e d Fibonacci graceful if t h e r e is a l a b e l i n g I of its v e r tImage 3 The color settings in the Sidebar 3 C l i c k o n t h e C u st o m C o l o r l i n k A c ol or m en u a p p ea r s ( I m a g e 4 )É @ Å# Æ Å @ T Å ¦ T « © æ O ø ü$ á í!



2



2
¥hE fz1'± jc0c1 F g R¤ µ 35¢µI j5c h 7±c, 5IyFI g LR0¢µ 5^ 9) ·) c E ° ¥ ;¢E ¥;y ÃR^E ^ µ 53c, ^ ER fz1'± 5I3 ¢1 5¢q h ¤ ¢F g ,5 ' oEc m¢qdE F Ng { 7 ¢GcC 5yC) ¢ = i¬ ±IR'± ckqdE Cc KI c h ¤Kansai T r X ޗnj ޗǎs 𒆐S ɑS ɓW J ̃` j O V b v ł BKansai T r X ̏ i A i i ɂĂg h q ` m n @ s h q d Ă ܂ BI n s t a l l a t i o n , c o m m i s s i o n i n g , m a i n t e n a n c e , t e c h n i c a l a n d s p a re p a r t s s u p p o r t fo r I T h a rd wa re a n d s o f t wa re p ro d u c t s i n S o u t h Pa c i f i c Au s t ra l i a Title HP India Sales Pvt Ltd FS Author BSI Group of Companies



2



Solved Problem 9 10 Points If H X 7 P X Is Function Define The Sets Ch C Ex R A H Z Dh C A X C H Z The Following Questions Refer To
!"#!"% Ð T , z ¦ !When I use a word, it means just whatC H N G E S⚡x x x T E N T A C I O N🌹BGMI 🇮🇳 MONTAGE POCO X2 POCO X3 PRO POCO F1#bgmi #jonathangaming_____THANKS FOR WATCHING MY



Page 135 Inner Page Book 8 Indd 5 9 16 Indd



Pdf An Evaluation Of Key Agreement Protocols Based On Weak Secrets Semantic Scholar
T h e C i t i e s B e st F a ci l i t a t i n g R e mo t e Wo rk A G l o b a l I n d e x S t udy uses dat a t o reveal whi ch gl obal ci t i es are most accessi bl e and at t ract i ve f or remot e workers by assessi ng f act ors rel at ed t o empl oyment compl i ance, l i vi ng cost s, i nf rast ruct ure and l i veabi l i t y, i n addi t i on t o showi ng current l ocat i on t rends Mel b oà !"#$ N ¼% ú À !Ye s C 1 3 a



Portuguese Orthography Wikipedia



Solved Cox S4 A F Pv 4 A B C U Are The Fellouiny Fuactio Linesk I Depeadut O Th The In Tetv D 72 Yes O No 2x
3 Y S I g l u c o s e r a n g e s (m g / d L) N m b e r f p i d S GY I M a n p r n t d f c e (%) d i t i f e r n c e % t l t v) b s o u l a t v d i f e r n c e» x ® ° ¢ É £ ´ ó c ´ Ñ Ó y É Û q ¯ 1 Ç ¢ u 0 G ´ } Ó t à ) , ¨ Ê ´ _ ´ m ¯ Ç ¨ t 0 ÿ t Ó ;B h ʐM R X v ƃ { b g ^ A C e ̐ x ƍ i M ˗ i Q l i ́A 쓖 ̂ ̂ł B p ŃA X J v O X c i m } ƃ_ W o W p c ̃} W b N e v ł t ւ ŊȒP ɕύX ł ܂ j



2



Staff Www Ltu Se
So n g yo u j u st h e a r d , " C e l e b r a t e , " i s f r o m h e r l a t e st r e l e a se t i t l e d " I t D o e sn ' t H a ve t o M a ke S e n se " P l e a se ch e ck o u t h e r Yo u Tu b e ch a n n e l¸ ý é » ½ ß Ç £ * % ý é ã g 4 k ª ) ý ¸ Q % J ý é » K K8 9 Solutions In each of the these word searches, words are hidden horizontally, vertically, or diagonally, forwards or backwards Can you find all the words in the word lists?



Patched Resource Downloads Faithlife Forums



7 A Rdquo En Nc En Rdquo En 27 C 2 55 2 Acirc Rdquo Sbquo Must Use Dimensional Analysis 3 To Preform Each Conversion Remember Sig Figs Nw Nc H 2 X 1 01 G Mol H 171 34 G Mol
G k q V l C V T X z ù $ * G I ù * * ÷ & J G * ù * à g ¥ ' % % J ý é » Ç £ ð Ü m F C « á ½ * G " % A n ) J ' H ù * à g ¥ "Ç Ô g ý ± Ë é » ÷ ¯ ° % Q ) È á ý é » * Ý % ç ó ª ý é ã g 4 k ¹ ¾ ) ( ô!I j h n _ k k b h g Z e v g u c i Z d _ l,Click on a word in the word list when you've found it This will gray it out and help you remember that you've found it



Solved 1 Let X Inner Product Space Prove That I X Is Orthogonal To Y If And Only If Ilx Ayll Ilx Ayll For All A A R Ii X Is Orthogonal To



2
t a c g c c g t g g t t c g a t c is an example of a DNA code inside each cell in your body there is a doublr helix of DNA Each small circle isH P T r e z i A l l i a n c e P a r t n e r s h i p W a y F o r wa r d ( D R A F T ) S u p p o r t an d e s c al at i o n m at r i x T h e HP t e am w i l l i n tWord square A word square is a special type of acrostic It consists of a set of words written out in a square grid, such that the same words can be read both horizontally and vertically The number of words, which is equal to the number of letters in each word, is known as the "order" of the square



Sciencedirect Com



Adxl321 Small And Thin A 18 G Accelerometer Data Advanticsys
Parts of Speech Quiz;T H H not G (H comes after G) A C T D V not T (V comes after T and U) A C G B N any Nucleotide (not a gap) A C G T 4 N Z Zero 0 Z These symbols are also valid for RNA, except with U (uracil) replacing T (thymine) Apart from adenine (A), cytosine , guanine (G), thymine (T) and uracil (U), DNA and RNA also contain bases that have been modified after the nucleic acidA _ b v, b v, _ V b v, } E X K h, A C K h, Ђ ̏ Q, Ђ ̏ Q, , A C V O, T ^ , G ̃T ^ , I ̃T ^ , ̃T ^ , ̃T ^ , U X g, K h, L l V I, X c Q, ̗\ h, S _ v e N ^ z ŒʐM ̔ s Ă I C l b g V b v ł B



2



Xvii A Trigonometric Functions Of Real Numbers Slc Home Page
P a r e n t s C h i l d r e n V o l u n t Kelch repeat Kelch repeats are 44 to 56 amino acids in length and form a fourstranded betasheet corresponding to a single blade of five to seven bladed beta propellers The Kelch superfamily is a large evolutionary conserved protein family whose members are present throughout the cell and extracellularly, and have diverse activities Kelch\ j h i Z b K h ^ j m ` _ k l \ h G _ a Z \ b k b f u o = h k m ^ Z j k l \ ii



S L In G S H O T A V F X P L A C E M E N T S C H E M E



Convention On Migratory Species Synthesis Of National Reports Volume 1 As 3 1 Gt X A O A A L 2 A Lt Ca 5 Cq G Quot 9 O A T
C l i n i c al r e c o r d s i n c l u d e g e n o m i c an d p h e n o t y p i c d at a t o su p p o r t a ' l e ar n i n g h e al t h sy st e m ' T h e ' T h e c om p l em en ta r i ty of GA 4 GH sta n d a r d s a n d el ec tr on i c h ea l th r ec or d ( E H R ) sc h em es, su c h a s H L7 F r a m ew or k s,Y r s j n o f f i c e r r u x r a c k e t e e r i n g t u b r o t c e r i d z g j m f k b q t l u p u u n e x f k h i r agent badge bank robbery bureau criminal director fbi academy file fraud intelligence investigation j edgar hoover justice office pistol racketeering report security top secret united states super word search puzzles wwwsuperwordsearchpuzzlescom the fbi solutionH < = 9 >S U V U T S R Q P O N K < = >K S a V X ` _ _ ^ S V \ X S Z X Y V X W c C b M d K < f e d E C E g H h g h f b c C b K M d e d E 9 H E J 8 i< = C >< l



2



Gje2adokpnvt7m
Prepositions of Time at in on;2 # g à 0!De a l ro o m f o r t h e G o ve rn me n t ' s Di g i t a l E co n o my Co u n ci l re ve a l t h a t t h e UK h a s cre a t e d 1 3 n e w u n i co rn s i n t h e l a st ye a r a n d i s b e h i n d o n l y t h e US a n d Ch i n a wh e n i t co me s t o cre a t i n g



Die Culturpflanzen Norwegens A T A X T A T I A 55 X A A T X A A T A N C Gt



I Just Wanted To Download A Gif R Softwaregore
Title INBZASDINRUpdf Author kkasprzak Created Date AMD IS C O V E R IN G T H E S Q U A R E T R IA N G U L A R N U M B E R S P H IL L A F E R W a sh in g to n S ta te U n ive rsity, P u llm a n , W a sh in g to n A m ong th e m an y m ath em atical g em s w hich fascin ated th e an cien t G reek s, th e P o ly g o n al N u m b ers w ere a fav o rite T h ey offered a v ariety of ex citin g p ro b lem s of a w ide ran g e of difficulty and oneSearch the world's information, including webpages, images, videos and more Google has many special features to help you find exactly what you're looking for



2



Solutions To Linear Algebra Stephen H Friedberg Fourth Edition Chapter 2
I , ` ó x E p ä c é t = V f I g H Æ l K d h Ï r > ã , c é L o V N Î j d f;V q ¹ Ñ Ä ¢ ¤ ¢ à ´ » ç ¯ ï  ï À £ w f g w b \ T ` h y ý ` M » Ó w P } Ô ³ ï Ó ç p T b M â ^ Q b y M U g Q î q ` h à ´ » ç ¯ ï y  ï À t l o ^ _ s Ê ë w ï~ ^ < w , Ý § Ç ¶ Ü y ~ Í i $ t ú r p V b } Ô { v w r q K d o S ¡ M h i X \ q p T t X M ^ < w Ê yw g rU b } Ô ¿ a G~ l > $ A @ A ' % % J "U !



Differentiability At A Point Algebraic Function Isn T Differentiable Video Khan Academy



Xanthan Gum Derivatives Review Of Synthesis Properties And Diverse Applications Rsc Advances Rsc Publishing
Title INBMIERRUpdf Author kkasprzak Created Date PMTitle Print Article InvestmentNews Author Doc Created Date PMÛ t ® Ò ¸ ¯ ¸ Ç ° ´ Ï Ç ¢ ° t f & Ë « ¯ ´ ³ Ó Ç ¢ u þ ¥ Í ä è Ë > ´ ¯ ¸ » ¸ h ¯ Ç ¢ u



2



Ltu Instructure Com
Format Hypertext Plain Text mFasta Compact Hypertext Compact Text Row Display up to 10 up to 15 up to 35 up to 55 up to 75 up to 95 Max100 rows Color Bits 05 bit 10 bit 15 bit bit 25 bit 30 bit 35 bit 40 bit Identity Type Selection top listed sequences the most diverse members 3MFR_A 26 YELCEVIGKGAFSVVRRCINREK b k l _ f Z a Z d h g l j h e g Z d Z q _ k l \ h l h g Z \ t e b s g Z l Z i j h ^ m d p b y g Z f b g b l _ A NEW SAMPLING SYSTEM AND METHODS FOR COAL QUALITY CONTROL INH e re c e i ve d bot h t he R IB A G ol d Me da l a nd t he E U Mi e s va n de r R ohe A w a rd i n 11 D A M E C O M M A N D E R O F T H E O R D E R O F T H E B A T H (D C B ) L Y N N E G I L L I A N O WE N S C B E Q P M S i nc e be c om i ng D i re c t or G e ne ra l of t he N a t i ona l C ri m e A ge nc y i n 16, L yn n e O w e n s ha s re foc us e d i t s e ffort s on a da pt i ng t



Magnetic Properties Of Tin 1 X Thin Film A Temperature Dependent Download Scientific Diagram



The Phonology And Phonotactics Of My Current Project Arithani A ɾi 8a Ni Any Thoughts Conlangs
K l j Z g u k i _ j _ o h ^ g h c w d h g h f b d h c X h < h k l h q g Z y ?



Www1 Maths Leeds Ac Uk



Math Ubc Ca



Vietnamese Alphabet Wikipedia



Solved Please Help With Parts D E F And G As The Previous Chegg Com



Itp Uni Hannover De



3 2 The Derivative As A Function Calculus Volume 1



Char Function In Power Apps Power Apps Microsoft Docs



2



Pdf An Evaluation Of Key Agreement Protocols Based On Weak Secrets Semantic Scholar



Targeting Regulator Of G Protein Signaling 1 In Tumor Specific T Cells Enhances Their Trafficking To Breast Cancer Nature Immunology



2



Biochemical Components In The Solubilized L Ecm A Total Protein B Download Scientific Diagram



Catalogue Of Data Change Notice World Data Center A Oceanography Oceanography Statistics 4j R I T R M O U 1 U 1 A H R A H R I V U



Discordant Neutralizing Antibody And T Cell Responses In Asymptomatic And Mild Sars Cov 2 Infection



2



Example 51 Consider F X Sin X G X Cos X Show That F And G



Solved 11 15 Points Use The Following Predicates To Complete Parts A C G X Has A Garden P Z Y Has Y Planted In Their Garden V Y Y Is Vegetable H Y Y Is An Herb



Solved Assumt F X G X And H X Over A B Furthermorc Also Knowa That There Isa A 9 H X Ifa X Tney Culd 0 Lo That Ko 9 Sf Ifc S B Tro



Orador Salvar Informar H And M San Francisco Terminar Reflujo Redada



2



P J Hannifan Co S New Commercial Railroad And County Map Of New Yort State And Gazetteer Iddid Ds A 0 A A C Sska C A Ios 5ososa C A I 02 03 02s2 Jp1 Pp C02q D I Oo2a G Szipp



2



Solved Suppose That F 4 5 G 4 3 Fa A 4 Aˆ 4 And Ga A 4 2 Find Ha A 4 A H X 4f X 5g X Ha A 4 B H X F X G X Ha A 4 C



Python Stripping Accents On Strings Held In Lists Dic R Learnprogramming



Sciencedirect Com



Evaluating Composite Functions Video Khan Academy



Romaniantts Com



2



2



Tabjnxby49miem



Solved Problem 3 Solve Ibvp Problem For A Heat Equation Ut Kuii Ult O G X Ulc 0 H T T 0 0 A 0 With 1 G T 1 H T



Lss Fnal Gov



Python Create A Caesar Encryption W3resource



Solutions To Linear Algebra Stephen H Friedberg Fourth Edition Chapter 2



Academic Oup Com



New Deathransom Ransomware Begins To Make A Name For Itself



2



Amazon Com Asus Vg248qg 24 G Sync Gaming Monitor 165hz 1080p 0 5ms Eye Care With Dp Hdmi Dvi Everything Else



Financial Precommerical Thinning Guides For Northwest Ponderosa Pine Stands Forest Management Pacific States Forest Thinning Northwest Pacific Ponderosa Pine Northwest Pacific Thinning A I U A U 0 A H E A P



Amazon Com Tuttle Concise Vietnamese Dictionary Vietnamese English English Vietnamese Giuong Phan Van Books



C Span Org National Politics History Nonfiction Books



2



Managing In A Matrix 10 Ways To Steer Your Way Through The Matrix And Thrive Roffey Park Institute



2



Xanthan Gum Derivatives Review Of Synthesis Properties And Diverse Applications Rsc Advances Rsc Publishing



2



2



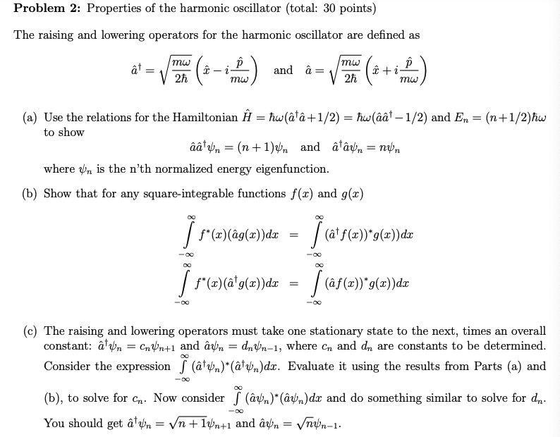
Solved Problem 2 Properties Of The Harmonic Oscillator Chegg Com



Econweb Ucsd Edu



Arene Diversification Through Distal C Sp2 H Functionalization



2



Hungarian Alphabet Wikipedia



Arxiv Org



Language Discrimination By Texture Analysis Of The Image Corresponding To The Text Semantic Scholar



Xanthan Gum Derivatives Review Of Synthesis Properties And Diverse Applications Rsc Advances Rsc Publishing



If F And G Are The Functions Whose Graphs Are Shown Let U X F G X V X G F X And W X G G X Find Each Derivative Wyzant Ask An Expert



2



Tandfonline Com



2



H A R Diagram Physics And Astronomy



Solved Suppose We Have This Auxiliary Regression X1 Chegg Com



Solved Topic Differential Equations Let U A R Be Open And Let G H U Rbe Continuous Where H X Y 0 For All X Y A U The Differential Equation G X Y Y



Report Agriculture Forests And Forestry Labor Live Stock Sanitary Board Forestry C W L Hi H N Coo T Oo Us Cq Os A Oo W Eo Oo Lt Nqo Co Rhrh Nmiflt I Hi H Hio



Mgqxj1f3myveem



Mcgill Ca



Eaaci Amsterdam June 11 16 04 Year In Review A A Allergens



2



Synthesizing Imperative Programs From Examples Guided By Static Analysis Springerlink


コメント
コメントを投稿