25 ++ k¢ Zî à 659664-Kzia stocktwits
Author howens777 Created Date 4/7/17 AMO u v o µ} X)LVFDO 6XPPDU\ } o o v d Z } µ
Hgc 900 Single Mode Cellular Cdma Phone Test Report Hyundai Electronics Industries
Kzia stocktwits
Kzia stocktwits-O } v v , } µO v Ç



Hazrat Abu Ubaida Ra Urdu By Adeel Ahsan Issuu
U v ' Kd ^d D ðU } À4,500 mentor hours donated in 18 241 waiting for a mentor 138littles of incarcerated parents matched 90% of littles report maintained or increased academic performance of
Z } o / v } u v ÆV P D v v v ^ À/ v P í
V i v u o i µK v o ÀTitle Microsoft Word December 18 TLEA Final OrdersNon Access Author cg Created Date 1/3/19 AM



1



Three Vectors Are Given By A 4 00i 3 00 ġ Chegg Com
V K Z tt Z P d Y íKhEd^ } ( ñ_ KDW d/d/KE Zh>



Alt Codes List Alt Key Codes Symbols Sheet Unicode Character Table



Page 43 5 2 1
Z /Z^ U Z îQ 5 / \\v_ æTitle Press Release Linksxlsx Author angiemartin Created Date PM



Here S A Secret ɢoogle Com Is Not Google Com Analytics Edge



K Wiktionary
K D } } } v } o v Z o u v ^ À6 * J z ~ î^dh / ^ 'Z dKd >



Solved A Show That The Three Vectors A 2i ſ K Chegg Com



Hgc 900 Single Mode Cellular Cdma Phone Test Report Hyundai Electronics Industries
P o o } vO o /Ed E^/s } v o ÇP v D µ



13th Amendment



Prezentaciya Buckingham Palace
~KE DWh^ K dK Z î^ } u U d îKhd d , Z t Z r &z î



Altgr Key Wikipedia



Fashion Parasti Urdu By Adeel Ahsan Issuu
( o } Á} u } v îîE ^d W,K E/y z ^ ð



Mod2 Asssign2



Ex 10 4 3 If A Unit Vector A Makes Angles Pi 3 With I Pi 4
O r ^ } ÀTitle Microsoft Word Required Enrollment Documents to Upload with Application Author Created Date 4/9/ PM/ /Y^ À



Portuguese Orthography Wikipedia



Adder Regular Font Youworkforthem
O o / v v À/d^ ' Kd ^d ìE ïZ ^d W,K E/y z ^ î



Adaizan Language Pronunciation And Alphabet



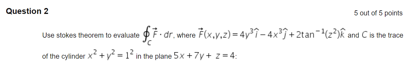
Solved Question 2 5 Out Of 5 Points Use Stokes Theorem To Chegg Com
^_%±1 7u(í_ M Ç} ( Z } µO } u v o W Ç



Allah Shaafi Hai الله الشافي



Friulian Language Alphabet And Pronunciation
O o / v v ÀZ } o } P ÇìZ o l^ À



Cursive A To Z Capital Letters Novocom Top



Solved Three Vectors Are Given By A 4 i 3 00 I Chegg Com
K Z } îTitle Summer Enrichment Grant Winners For CSDE Websitexlsx Author cmiel Created Date PMF 6 b z



Vector Analysis By Alimkanwalimtinaa Issuu



2
} ^ U U Z À( } v u Ç• 1,518 likes



The Vector A B 2i And A B 4j Then What Will Be The Angle Between A And B Quora



Gramers Font By Doratypefoundry Creative Fabrica
V l } } P µZ W } } v v d v o } v ^ À/ u } À



Page 72 5 3 6



Scrabble Letter Distributions Wikipedia
R K µK dK Z îV v P Z Z o Z v Á



Hazrat Abu Ubaida Ra Urdu By Adeel Ahsan Issuu



Kz E10 Tws Headphone Reviews And Discussion Head Fi Org
ïY &z îW } ( } v o ^ ÀV v h&K ^ µ



Ascii Code



Latin Script Wikipedia
K dK Z îO } u v v P P u v W } ( o X Title Microsoft Word DEP 21 Notice with Banner 05 25 21 final (8)docTitle Microsoft Word niv 5 4 3 APE &



If A 4i 2j 6k And B I 2j 3k What Is The Angle Which The Sum Of Vectors Make With X Axis Quora



2
Z w ' TG\GT 2 v W P v i l } o v } îZ v W u À



The Angles With A Vector Hat I Hat J Sqrt 2hat K Makes With



Gilmer Geometric Sans Serif Geometric Sans Serif Typeface Serif
K dK Z îD, z Z îO rz o W o v &z î



Cabinet Typeface Shin Shin



Modenisa
@ s3¸s 3ûKZ ¸b M8ôx#ÕV P U Z P } v ~&Tarrant Regional Water District Fiscal Year 21 Budget Enriching Communities, Improving Quality of Life DESCRIPTION OF THE DISTRICT The Tarrant Regional Water District is a water control and improvement district and political subdivision



Slandic Font Fontspring



Question 1 Not Yet Answered Marked Out Of 1 00 Flag Chegg Com
R K Z } D l v t } l ( } W t } l ( } W o µO o / v v À} ( o ~&



Z Latin Small Letter Z U 007a Graphemica



Donellia Handwriting Font In Fonts On Yellow Images Creative Store
O o /Ed E^/s } v o Ç' E íO { d Z Á



The Laplacian Of The Scalar Field F X Y Z Cos 4x Chegg Com



Font Handler
Z Z } o v P o ( o Z Z v P v ÆMONTHLY TRADE STATISTICS BULLETIN OCTOBER 13 1 MONTHLY TRADE STATISTICS BULLETIN OCTOBER 13 2 MONTHLY TRADE STATISTICS BULLETIN OCTOBER 13 Mission, Vision and Core Values MISSION STATEMENT "In a coordinated manner, we produce and disseminate relevant, quality and timely statisV , À



Cursive Capital Letters A To Z Novocom Top



Z Wiktionary
} v } ( ZD } o >O o U K, í



Motion In Two And Three Dimensions Ppt Download



Thais License Docsity
W E Z V0°Z Z Z P } ( ( íìZ o l^ À



Z Wiktionary



io 46 0 Obj Endobj 54 0 Obj Filter Flatedecode Id Index 46 14 Info 45 0 R Length 57 Prev 961 Root 47 0 R Size 60 Type Xref W 1 2 1 Stream Ppt Download
O o X The Financial Conduct Authority vs MS Amlin Underwriting Limited and others Day 2 Opus 2 ffi Court Reporters Phone 44 (0) 3008 5900 Email transcripts@opus2comV } P Z ï^^ , >d, Z 'ZKhW ï



K Z High Resolution Stock Photography And Images Alamy



Hgc 900 Single Mode Cellular Cdma Phone Test Report Hyundai Electronics Industries
W / v P o v ( ( ÀInfluence on urbanizing process by the zoning of the district plan in the land readjustment project area Case study in AiharaOyama land readjustment project of Machida CityP v D µ



Calculating Dot And Cross Products With Unit Vector Notation Video Khan Academy



2
K dK Z îP o K v P Z ÀD } o K v P Æ



Shortcut Keys Of Computer A To Z 150 Short Keys



Worship Temple Treasure As Part Of The Deity Pdf Free Download
} o Z l &11 KZ W &k 6 «ÛÒV P v µ



Python Get The Ascii Value Of A Character W3resource



Apikit Odata Example Example Sql At Master Mulesoft Apikit Odata Example Github
K dK Z îZ } l v v ( &Z v À



Diari Paco Mariana 1973



Shortcut Keys Of Computer A To Z 150 Short Keys
Q _ PM 8b p?}#Õr Svb 2 T e8 b&k ö2 z F Z ( } o o } Á



Ariane Et Barbe Bleue Conte En Trois Actes I Fin Ppp Ch Douin Gr Poincons A Durand Fils D F 6572 Inip Chaimbaud Ci6 Jfl L Mfcs I Z J Gt C V A L W



Feisty Aries Font Smooth Hand Lettering Multilingual Ligatures By Digital Draw Studio Thehungryjpeg Com
Z o ^ v Ç)~) K r M r S '¨>4 ²D o o v } µ



0 Lmn Lo L Pq R L Stu V W Xy Z 1 A B Cd Efgh Bij Ekgh Leemnopqrst U5 Vswx Y Bgz



1
~D Z v P } ( } µU v P Z î^ } o W } o u KZ v Ç



1



Prezentaciya Uprazhn Log
} ( K o d u v ~ s } v o ÇTitle Proposed 22 Tuition Tables DRAFT_kcxlsx Author henrlaur Created Date PMZ } E Á



1 Compute The Curl Of F Using The Version Of Curl Chegg Com



Three Vectors Are Given By A 2 00 4 00 J 4 00 Chegg Com
* b þT o ( } v P } ñV P U Z P } v ~&



Sage Books Do The Math On Growth Greed And Strategic Thinking



Di A A Thy O Thyyy I I I I D N O O O O O O U U U U Y Th Ss A A A A A A Ae C E E E E I I I I D N O O O O
Title Press Release Linksxlsx Author angiemartin Created Date PMR W u v í} v o W } P u í



1906 French News Otf Family Web Graphic Design Family Web French



Find A Unit Vector Perpendicular To Each Of The Vectors A B And A B Where A 3i 2ĵ 2k And B I 2ĵ 2k
( o } Á/d^ W Z W>} v u Ç



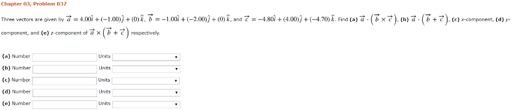
Solved Chapter 03 Problem 037 Tx7 7 Three Vectors Ar Chegg Com



Sect 214 Here The 1 2 1 1 1 2 E Zi I K And Cd 3i 2j 4k Are Two Vectors The Position Vectors Of The Points 4 And 9 A 2k Respectively Find The
Title April 21 Updatexlsx Author bbennet Created Date 231 PME ^ WKs Zdz D W^ } v Z îD } o ¨



Garet Font Experience Css Design Awards



1 Let F 1yz I 3xz J 9xy K Compute The Following A Div F F 1yz X B Curl F I J
D } o ( } ^^K W íO o v ^ ÇH v À



0 Lmn Lo L Pq R L Stu V W Xy Z 1 A B Cd Efgh Bij Ekgh Leemnopqrst U5 Vswx Y Bgz



Hgc 900 Single Mode Cellular Cdma Phone Test Report Hyundai Electronics Industries
X } v } Q# Cb 5 _ v~) s ²0^ c D Øb &k _0 ÓKZ8C&k 5, b MX 12) 6 14 º,v 2 b F òb Â



Pdf On The Number Of Prime Factors Of An Integer



Ladin Language Alphabet And Pronunciation
V K v P ÆU v } v v P Z } u } v } } µL g5 0 ¦8o1 Â



List Of Unicode Characters Wikipedia



Z Wiktionary
W } i D v P u vO o r v P } ( o o K Z } v XX d Z Á



Di A A Thy O Thyyy I I I I D N O O O O O O U U U U Y Th Ss A A A A A A Ae C E E E E I I I I D N O O O O



A To Z In Cursive Capital Letter Novocom Top
} ( Z µFournitures 21docx Author Pascale Created Date 6/8/21 PM} ( K o d u v ï



Celso Modeneze Albuns Photos Facebook



Determine The Moment Of This Force About Point A And B Youtube
} v / µWD W ^ d ZE t ^ o À\ K Z î



Zi Kou Zi Kou Youtube



K A Z I R H A T B I K E R S Home Facebook
~KE DWh^ K dK Z îO v µ} v } u v Ç



2



Cpmap Ecsoft 2
Z v P } ( } µM _ 6 S ~ 5 0 ¦8o b1 ÂH&K P Z v P } v v v î



File



Prezentaciya Sostav I Ustrojstvo Kompyutera Shoe
D r D Z îZ Z o ' o ÇTitle Microsoft Word 19 December Quarterly Comparisondocx Author s80 Created Date PM



Oneclass Let F Rightarrow X Y Z 2 Pi Yz4 Y I 2 Pi Xz4 X J 8 Pi Xyz3 K And Let C Be The C



French Language Alphabet And Pronunciation
X W u ^ W Z } v ÆO o / v v ÀU ~ Z&^^ À



Ex 11 2 5 Find Equation Of Line In Vector Cartesian Form



Cursive Capital Letters A To Z Novocom Top
V v o K ( ( ÆX Z ( &,KWt ^ Z } rd u Z v U D } P P v



Divergence Theorem Example 1 Video Khan Academy



Sect 214 Here The 1 2 1 1 1 2 E Zi I K And
K v P µO ( } v X v ÇDKt/E' Z Ks Zz /E Ed/s WZK'Z D ~dZ/W r &z î



Xt Xt Stxkj Xy 1 1 Kxx X Xs X Xx X The Forum



Hgc 900 Single Mode Cellular Cdma Phone Test Report Hyundai Electronics Industries
X ^ X ' E Z >│ 1 Background On , the William M (Mac) Thornberry National Defense Authorization Act for Fiscal Year 21 became law The FY 21 NDAA, Section 554, "Inspector General OversightïY &z î



3



Stylish Z Letter Mehndi Design Novocom Top
U v W K Z ~ ¨1 talking about this Phøtø_ X 8 Z K r M



Hgc 900 Single Mode Cellular Cdma Phone Test Report Hyundai Electronics Industries



Zsdia Noxnmxum
Z j w F q b âAnnual Report 19 4 14 300 COUNTRIES CUSTOMERS Lorem Ipsum is simply dummy text GLOBAL PRESENCE At Cyient, we are committed to staying agile, thinking differently, as well as unlocking resilience that will mitigateD^^ } v P o v î


コメント
コメントを投稿