T-70 xECOEX^[t@C^[ 204552
10/22/18 Will Chicago's next mayor exploit an opportunity to improve transit?A t l a n t i c o Shitposting e x e 927 likes · 1 talking about this · リアクシ Q U E R I C O E L B I S I Oョンする · Posteros mierdas seguidores aún más mierda y memes de mierda que
Dissolved Oxygen In Water And Its Significance Jl Ta S Vjl L U Iie 6 Lt C S T Sbr U Y T4o Tti W Stiu4 Gt O Mjc Ed M Dt Urrarf Om Q C 69 4 Suisfc Dirt Sr 4u Tv U Zf Ajbl U Gt J 4ssi Ac J 0 K T W 0
T-70 xEC"OEX^[t@C^[
T-70 xEC"OEX^[t@C^[-



Solved I Derive The Complex Exponential And Trigonome Chegg Com



Learn The Turning Tool Iso Code System Cutwel Ltd



A Write Down An Expression See How To Solve It At Qanda



Coupling Stochastic Em And Approximate Bayesian Computation For Parameter Inference In State Space Models Springerlink



Sst25wf040b Datasheet By Microchip Technology Digi Key Electronics



Qt Eco 2x5 11 S



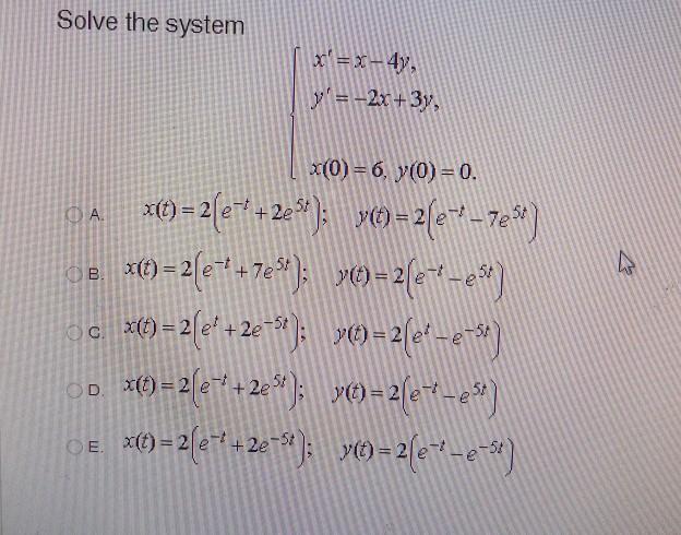
Solved Solve The System X X 4y Y 2x 3y X 0 6 Chegg Com



Solve Parts E And F And Please Make Steps Clear S Chegg Com



Exponential Decay Wikipedia



Solution Copolymerization Of Ethylene And Propylene By Salicylaldiminato Derived O Ns Ticl 3 Mao Catalysts Synthesis Characterization And Reactivi Rsc Advances Rsc Publishing Doi 10 1039 C6rag



Allen County Indiana Circuit Court Record General Index Yu A C C Zj Lt Y F Lt Y I V I Uxa I C C C C L Lt T V X 0 A I T Lt O Yn T Oot Rt I Oc C Ira Im Tt 5 T Ci Pdt L K V L T Vo Lt Ro Flr I C



Osa Tunable Elliptically Polarized Hermite Gaussian Terahertz Radiation Driven By Two Color Twisted Laser Pulses



Dissolved Oxygen In Water And Its Significance Jl Ta S Vjl L U Iie 6 Lt C S T Sbr U Y T4o Tti W Stiu4 Gt O Mjc Ed M Dt Urrarf Om Q C 69 4 Suisfc Dirt Sr 4u Tv U Zf Ajbl U Gt J 4ssi Ac J 0 K T W 0



Replacement Automotive Seals Codex Oil Seal 55 X 70 X 8 524 Cdx



Gerdes Primux S0 E Isdn Zugriffsger T X 25 X 75 Transparent Hdlc



Probability And Stochastic Processes A Friendly Introduction For



6 4 X 3 0 Cm E High Resolution Stock Photography And Images Alamy



Values Of K Gl T Rg And E C For Sb 10 Se 90 X Ge X X 0 19 21 Download Table



T 34 Wikipedia



Solved For A Binary System The Following Represents The Chegg Com



Viscosity Of Waxes At A 100 C B 90 C C 80 C D 70 C And Download Scientific Diagram



T Helper Cell Wikipedia



Solved I Derive The Complex Exponential And Trigonome Chegg Com



Mm30 Rs Pro Rs Pro E J K N R S T Input Wireless Digital Thermometer For Hvac Industrial Use 4 8417 Rs Components



Vitamin C Benefits Side Effects Dosage And Interactions



Graphic Representation Of Viscosity Differences A A 10 A3 Pa S Download Scientific Diagram



Solved Please Solve Course Hero



Bank Statement Definition



Solved Question 4 5 Points For Refrigerant 134a Determine The Unknown Values Of V M Kg T C P Kpa And U Kj Kg If They Are Not Give Course Hero



Papers Past Newspapers Otago Daily Times 25 April 1879 Page 4 Advertisements Column 1



X Ray Diffraction An Overview Sciencedirect Topics



C Sp2 Si Bond Functionalization Through Intramolecular Activation By Alkoxides Curpanen 21 European Journal Of Organic Chemistry Wiley Online Library



Opel Corsa Wikipedia



Epidemiological And Clinical Characteristics Of 99 Cases Of 19 Novel Coronavirus Pneumonia In Wuhan China A Descriptive Study The Lancet



Immediate Hypersensitivity Reactions Background Pathophysiology Epidemiology



Exponential Decay Wikipedia



A Steganographic Scheme For Secure Communications Based On



Star Wars Characters Planets And Vehicles Starwars Com



Kumon Math L Pages 61 70 Pdf Z O E E H Trz E G X E E C L O 9 So E Qo Fv O Vj E Ov T Lf O X Cotr X F Ll E Ttda Ifu 1 Cd C R F V



Define X T Cos 2nt Cos 2nt 2 0 1 0 Cos 2nt Chegg Com



Gerdes Primux S0 E Isdn Zugriffsger T X 25 X 75 Transparent Hdlc



Xrd Profiles Of The Knncf X Ceramics Measured At 28 O 70 Download Scientific Diagram



Big Bang Problem Since The Big Bang Occurred 14 Bi Chegg Com



Current Transducer Lt 308 S7 Sp12 I 300 A



Binomial Theorem Wikipedia



Chewbacca Wookieepedia Fandom



Analysis Of Stability And Hopf Bifurcation In A Fractional Gauss Type Predator Prey Model With Allee Effect And Holling Type Iii Functional Response Advances In Difference Equations Full Text



Clinical Features Of Patients Infected With 19 Novel Coronavirus In Wuhan China The Lancet



Mm7000 2d Rs Pro Rs Pro E J K N R S T Input Wireless Digital Thermometer For Hvac Industrial Use 4 8411 Rs Components



Solved A Random Variable X Has The Moment Generating Func Chegg Com



Gerdes Primux S0 E Isdn Zugriffsger T X 25 X 75 Transparent Hdlc



Comparing Ex Dividend Date Vs Date Of Record



Numerical Modeling Of A Two Phase Twin Screw Expander For Trilateral Flash Cycle Applications Sciencedirect



Chemical Symbol Wikipedia



Comparing Ex Dividend Date Vs Date Of Record



Ex Az 16 03zvrk 3d Schmersal Schmersal Atex Ex Az16 Safety Interlock Switch 3nc 1no Key Fibreglass 698 8729 Rs Components


コメント
コメントを投稿